上周五,沪铝期货2404合约呈现缩量增仓、振荡略微收涨的走势。盘中期价最高上行至19015元/吨,最低下探至18930元/吨,收盘时略微收涨0.66%至18965元/吨。沪铝期货2404合约小幅增仓6289手,至206640手,增幅达3.14%。
交易所公布的多空持仓排行榜前20席位数据显示,沪铝期货2404合约持仓呈现多空双增的现象。其中,多单合计增仓5691手,至139777手;空单合计增仓4401手,至144147手。由于多头合计增仓数量超过空头合计增仓数量,导致净空头寸小幅减少至4370手。
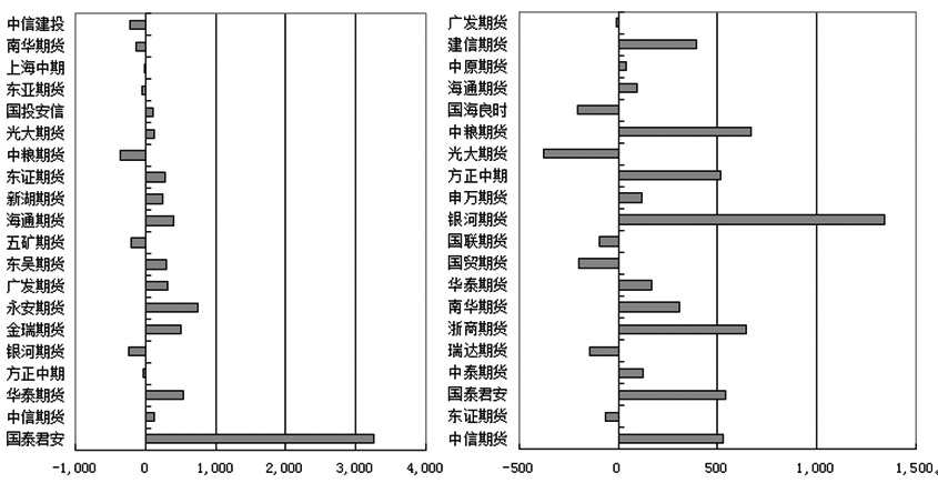
具体来看,多头前20席位中,增持多单的席位有12家。其中,增持数量超过1000手的有1家,为国泰君安期货席位,大幅增加3250手。另外,增持数量介于100手至1000手的有11家,分别为中信期货席位、华泰期货席位、金瑞期货席位、永安期货席位、广发期货席位、东吴期货席位、海通期货席位、新湖期货席位、东证期货席位、光大期货席位和国投安信期货席位,分别增加120手、535手、502手、747手、311手、289手、398手、241手、286手、133手和104手。
空头前20席位中,增持空单的席位有13家。其中,增持数量超过1000手的有1家,为银河期货席位,大幅增加1344手。另外,增持数量介于100手至1000手的有10家,分别为中信期货席位、国泰君安期货席位、中泰期货席位、浙商期货席位、南华期货席位、华泰期货席位、申万期货席位、方正中期席位、中粮期货席位和建信期货席位,分别增加527手、540手、123手、648手、312手、167手、118手、515手、669手和393手。其余2家席位增持数量不足100手。
值得注意的是,当日多空排行榜前20席位中,有4家进行多翻空操作。数据显示,方正中期席位在减持10手多单的同时增持515手空单,银河期货席位在减持243手多单的同时增持1344手空单,中粮期货席位在减持364手多单的同时增持669手空单,南华期货席位在减持142手多单的同时增持312手空单,表明上述席位对后市沪铝期价继续上行信心不足,反手布局空单。
而采取空翻多操作的席位则有3家。东证期货席位在减持62手空单的同时增持286手多单,光大期货席位在减持379手空单的同时增持133手多单,广发期货席位在减持3手空单的同时增持311手多单,表明上述席位看好后市沪铝期价有望再度上涨。

图为沪铝期货2404合约多空前20席位持仓变化
综上,上周五,沪铝期货2404合约持仓多空排行榜前20席位中,由于多头合计增仓数量超过空头合计增仓数量,导致净空头寸小幅减少至4370手,表明空头优势有所减弱,预计后市沪铝期货2404合约料涨势趋缓,面临承压。(作者单位:宝城期货)

